プロジェクトスケジュールネットワーク図(Project Schedule Network Diagram)について
プロジェクトスケジュールネットワーク図とは
プロジェクトスケジュールネットワーク図とは
プロジェクトスケジュールネットワーク図とは、プロジェクトのアクティビティ間の依存関係を明示した図です。
アクティビティ間の依存関係を明らかにすることで、アクティビティの論理的順序関係を明確にして、スケジュール作成の事前情報とします。
つまり、プロジェクトスケジュールネットワーク図は、スケジュールを作成するための参考資料として作成されます。
プロジェクトスケジュールネットワーク図には、プレシデンスダイアグラム法とアローダイアグラム法があります。
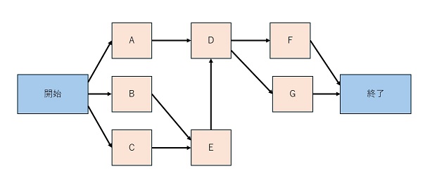
プレシデンスダイアグラム法(PDM法)
プレシデンスダイアグラム法(PDM:Precedence Diagramming Method)とは
プレシデンスダイアグラム法とは、個々の作業を四角で表して、作業同士を矢印で結ぶことで作業順序や依存関係を表現する図法です。
PDM法は「開始」と「終了」を組み合わせた依存関係を記述できる特徴があります。
プレシデンス(precedence)とは「優先順位」という意味の英語です。
また、アクティビティをノード(箱)で表すことから、「Activity On Node(AON)」と呼ばれることもあります。

PDM法の論理的順序関係
PDMには、以下の4つの依存関係または論理的順序関係があります。
| 関係 | 説明 |
|---|---|
| 終了 – 開始関係(FS) |
あるアクティビティの終了が、他方のアクティビティの開始条件になっている関係。 後続アクティビティの開始は、先行アクティビティの完了に左右される。 |
| 終了 – 終了関係(FF) |
あるアクティビティの終了が、他方のアクティビティの終了条件になっている関係。 後続アクティビティの完了は、先行アクティビティの完了に左右される。 |
| 開始 – 開始関係(SS) |
あるアクティビティの開始が、他方のアクティビティの開始条件になっている関係。 後続アクティビティの開始は、先行アクティビティの開始に左右される。 |
| 開始 – 終了関係(SF) |
あるアクティビティの開始が、他方のアクティビティの終了条件になっている関係。 後続アクティビティの完了は、先行アクティビティの開始に左右される。 |
リードとラグ
リードとは、先行アクティビティに対して、後続アクティビティの開始を前倒しできる時間です。
ラグとは、先行アクティビティに対して、後続アクティビティの開始を遅らせる時間です。
例えば下記PDM法で記した図では、アクティビティBの完了は11日後(6 - 2 + 7)であり、アクティビティCの完了は12日後(6 - 2 + 3 + 5)です。

アローダイアグラム法(ADM法)
アローダイアグラム法(ADM:Arrow Diagramming Method)とは
アローダイアグラム法とは、個々の作業を矢印で表して、作業同士を丸印で結ぶことで作業順序や依存関係を表現する図法です。
ADM法が表現できる依存関係は「終了 – 開始関係(FS)」のみであり、全ての順序関係を表現できないため、PDM法を利用することが多くなっています。
アロー(Arrow)とは「矢印」という意味の英語です。
また、アクティビティを矢印で繋げて表すことから、「Activity-on-arrow (AOA)」と呼ばれることもあります。

最早結合点時刻(EET:Earliest Event Time)と最遅結合点時刻(LET:Latest Event Time)
最早結合点時刻とは、プロジェクトが計画通りに進行した場合の、各結合点における次作業を開始できる最早の日数のことです。
プロジェクト開始時点では0とし、プロジェクト終了まで各作業の工数を加算していくことで求まります。
最遅結合点時刻とは、プロジェクトが計画通りに進行した場合に、各結合点の次作業を遅延なく開始できる最遅の日数のことです。
先行作業は遅くとも最遅結合点時刻までに終わっていなければスケジュール遅延が発生します。
フロート(Float)
フロートとは、あるタスクの最早開始日と最遅開始日の差のことです。
フロート日数以内であれば、遅延が生じてもプロジェクト進行に問題がないという余裕期間を意味します。
フリーフロートやフロート日数とも呼ばれます。
クリティカルパス法(CPM:Critical Path Method)
クリティカルパス法とは、プロジェクトの各工程を時系列で並べて、最も時間を要する部分である「クリティカルパス」を検証する手法です。
クリティカルパスを洗い出すことにより、プロジェクトの全工程を最短時間で完了するために重要な作業経路を確認し、見積もることが可能です。
CPM法は1950年代にデュポン社(エンプラなどで有名なアメリカの化学メーカー企業)が開発した手法です。
関連ページ
- プロジェクトマネジメント
- プロジェクトスコープ記述書の作成
- WBS(Work Breakdown Structure)の作成
- プロジェクト資源マネジメントの計画
- スケジュールの作成
- コスト見積もり
- リスク分析
- 品質マネジメント計画
- プロジェクトマネジメント計画書の作成